Site: Index >> Investment >> Joint Venture >> Info Detail

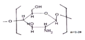
Item Title: Chitosan oligosaccharide (chitosan oligomer) 
Item Sort: Bioengineering 
Implementation Address:  
aggregate Investment: 12 million RMB 
Mode: Jiont Venture
Ratio Between Investments in:  
Present Condition:  
Item Introduction: The chitosan oligosaccharide of our company is listed into National Torch Program in 2004 in China.
The chitosan oligosaccharide production technology of our company obtained National invention patent in China.

Chitosan oligosaccharide has outstandingadvantages than chitin and chitosan. Absorption rate of chitosan oligosaccharide in human body is nearly 100% and its biological activity and function are tens of times that of chitosan. Thus, the daily intake for maintaining human health is greatly decreased.

The chitosan oligosaccharide of our company is refined with biological technology and the enzymolysis is done according to requirement of the organism. Beside high biological activity and good effect, this manufacturing method avoids outgrowth and injurant residue caused by chemical production means.

It's proved that chitosan oligosaccharide is of the functions of improving immunity, restraining growing of cancer cells, accelerating forming of antibody in liver and spleen, stimulating assimilation of calcium and minerals, proliferating sanative bacteria like bifidobacterium and lactic acid bacteria, decreasing blood fat, blood pressure and blood sugar, adjusting cholesterin, losing weight and preventing adult illness etc. Applicable in medicine and functional food field etc.
Chitosan oligosaccharide can obviously eliminate oxygen anion free radical, activate cells of the organism, postpone aging, restrain growing of bad bacteria on skin surface and moisturize. It's a kind of basic raw material in daily chemical field.

Chitosan oligosaccharide is of water solubility, convenient application, outstanding effect in restrainingbad bacteria, so it's used as natural preservative of excellent performance.
Chitosan oligosaccharide can effectively improve yield of fruit and vegetables, prevent disease and insect injury, proliferate sanative bacteria in soil and biological fertilizers. Its special function with pesticide and fertilizer determines its wide application in agriculture field.  
feasibility analysis:  
Correlative Files: Download

Promulgator Detail

Full name: hichem 
Country: CN 
City:  
Company Name: hichem 
Homepage: http://www.teloon.com
E-mail: Reply
Phone: 86-411-82819585 
Fax: 86-411-82819612 
Company Address: Renming Road, Dalian city, Lianning pro,china 
Zip/Postal Code:  
Introduction:  
 

Home | About Us | Contact Us | Disclaimer | Site map
Copyright all reserved by Teloon Chem Corporation 2003-2026
辽ICP备:辽B-2-4-20080120-9